√1000以上 爪形消元 168726-��形消元
爪型行列式解法 线性代数入门 利用 加边法 计算行列式 Weixin 的博客 Csdn博客
爪の根元にある半円のように白くなった部分を、専門用語では「 爪半月(そうはんげつ) 」と呼ぶんですが、これはいわゆる「爪の赤ちゃん」にあたると思ってください。 この白くなった部分が成長していくことによって爪が伸びるんですが、季節的な では早速、キレイな爪の形の作り方を解説していきます。 爪の形を整えるために必要な道具は以下の3つ。 爪ヤスリ ネイルオイル、ハンドクリーム スティック 爪の長さや形を整えるには爪ヤスリが必要です。 爪の表面を磨くだけでなく、形を整えたり
爪形消元
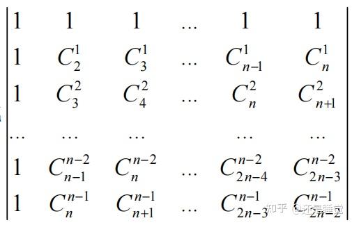
爪形消元- 17万人看过 上一节中我们利用行列式的性质计算了一类非常重要的行列式,这种具有一定模式的行列式有很多,本节我们再介绍一类"爪型行列式"的计算方法,以及这种计算方法在求其它行列式中的应用。 本系列文章上一篇见下面的经验引用:爪形矩阵约束四元数矩阵方程AXB=C的求解 吴恒飞ꎬ张宗标 (亳州学院电子与信息工程系ꎬ安徽亳州) 摘 要以四元数的实表示为基础ꎬ结合爪形矩阵的结构特点ꎬ利用矩阵的拉直与Kronecker积ꎬ将爪形矩阵约束四元数矩阵
徐兴无 道德 政治 医术 谶纬文献中的儒家治气养性之术 儒家网
求爪型行列式的计算公式 用符号表示,如二阶行列式的公式是D2=a11a22a21a12 你就用三阶行列式举例吧。 回答作者:笑靥如花笑靥如花 采纳时间: 0945 爪型行列式的解法是将依次第二列开始乘一个系数后加到第一列上,使得第一列除了首元素外都是 爪甲 は、一般的に「爪」と呼んでいる部分である。 ほぼ四角形の半透明角質板で少し凸状にアーチがかっている。爪母 にあるケラチノサイトから作られ、髪の毛の組織と同じく主成分は硬ケラチンでできている。 硬ケラチンとは、たんぱく質の一種である。爪型矩阵如何变换 四个类型的爪型行列式 ______ 行列式在数学中,是一个函数,其定义域为det的矩阵A,取值为一个标量,写作det(A)或A无论是在线性代数、多项式理论,还是在微积分学中(比如说换元积分法中),行列式作为基本的数学工具,都有着重
基本的には、 爪の形は個人のお好みで選んでいただくのが1番 で、それぞれの爪に適した形・適さない形などはありません。 でも「あえていうならコレ!」という爪の形もありますので、ここでは自爪の悩み別にオススメの形を紹介したいと思います。 肌內效貼布有很多種貼法,其中處理腫脹問題,最實用的就是爪狀貼法。教學方式如下: 一、將肌貼剪下能覆蓋腫脹區的長度 二、將一端1至15格作為錨點其餘的部分剪成3~8條的爪狀 三、將錨點貼在腫脹附近淋巴結的位置或是靠近身體近端(靠近心臟方向)无障碍 登录/注册 数学 爪型行列式怎么变成三角型行列式?
爪形消元のギャラリー
各画像をクリックすると、ダウンロードまたは拡大表示できます
![]() Press Coverage Cindy Chao The Art Jewel | ![]() Press Coverage Cindy Chao The Art Jewel | ![]() Press Coverage Cindy Chao The Art Jewel |
![]() Press Coverage Cindy Chao The Art Jewel | Press Coverage Cindy Chao The Art Jewel | ![]() Press Coverage Cindy Chao The Art Jewel |
![]() Press Coverage Cindy Chao The Art Jewel | Press Coverage Cindy Chao The Art Jewel | ![]() Press Coverage Cindy Chao The Art Jewel |
![]() Press Coverage Cindy Chao The Art Jewel | Press Coverage Cindy Chao The Art Jewel | Press Coverage Cindy Chao The Art Jewel |
Press Coverage Cindy Chao The Art Jewel | ![]() Press Coverage Cindy Chao The Art Jewel | ![]() Press Coverage Cindy Chao The Art Jewel |
Press Coverage Cindy Chao The Art Jewel | ![]() Press Coverage Cindy Chao The Art Jewel | ![]() Press Coverage Cindy Chao The Art Jewel |
Press Coverage Cindy Chao The Art Jewel | ![]() Press Coverage Cindy Chao The Art Jewel | ![]() Press Coverage Cindy Chao The Art Jewel |
Press Coverage Cindy Chao The Art Jewel | ![]() Press Coverage Cindy Chao The Art Jewel | ![]() Press Coverage Cindy Chao The Art Jewel |
![]() Press Coverage Cindy Chao The Art Jewel | Press Coverage Cindy Chao The Art Jewel | Press Coverage Cindy Chao The Art Jewel |
![]() Press Coverage Cindy Chao The Art Jewel | ![]() Press Coverage Cindy Chao The Art Jewel | ![]() Press Coverage Cindy Chao The Art Jewel |
Press Coverage Cindy Chao The Art Jewel | ![]() Press Coverage Cindy Chao The Art Jewel | ![]() Press Coverage Cindy Chao The Art Jewel |
Press Coverage Cindy Chao The Art Jewel | Press Coverage Cindy Chao The Art Jewel | ![]() Press Coverage Cindy Chao The Art Jewel |
Press Coverage Cindy Chao The Art Jewel | ![]() Press Coverage Cindy Chao The Art Jewel | Press Coverage Cindy Chao The Art Jewel |
![]() Press Coverage Cindy Chao The Art Jewel | Press Coverage Cindy Chao The Art Jewel | ![]() Press Coverage Cindy Chao The Art Jewel |
![]() Press Coverage Cindy Chao The Art Jewel | ![]() Press Coverage Cindy Chao The Art Jewel | Press Coverage Cindy Chao The Art Jewel |
![]() Press Coverage Cindy Chao The Art Jewel | ![]() Press Coverage Cindy Chao The Art Jewel | Press Coverage Cindy Chao The Art Jewel |
![]() Press Coverage Cindy Chao The Art Jewel | ![]() Press Coverage Cindy Chao The Art Jewel | ![]() Press Coverage Cindy Chao The Art Jewel |
![]() Press Coverage Cindy Chao The Art Jewel | ![]() Press Coverage Cindy Chao The Art Jewel | ![]() Press Coverage Cindy Chao The Art Jewel |
![]() Press Coverage Cindy Chao The Art Jewel | ![]() Press Coverage Cindy Chao The Art Jewel | ![]() Press Coverage Cindy Chao The Art Jewel |
Press Coverage Cindy Chao The Art Jewel | ![]() Press Coverage Cindy Chao The Art Jewel | ![]() Press Coverage Cindy Chao The Art Jewel |
Press Coverage Cindy Chao The Art Jewel | ![]() Press Coverage Cindy Chao The Art Jewel | Press Coverage Cindy Chao The Art Jewel |
![]() Press Coverage Cindy Chao The Art Jewel | Press Coverage Cindy Chao The Art Jewel | ![]() Press Coverage Cindy Chao The Art Jewel |
![]() Press Coverage Cindy Chao The Art Jewel | ![]() Press Coverage Cindy Chao The Art Jewel | ![]() Press Coverage Cindy Chao The Art Jewel |
![]() Press Coverage Cindy Chao The Art Jewel | ![]() Press Coverage Cindy Chao The Art Jewel | Press Coverage Cindy Chao The Art Jewel |
Press Coverage Cindy Chao The Art Jewel | ![]() Press Coverage Cindy Chao The Art Jewel | ![]() Press Coverage Cindy Chao The Art Jewel |
![]() Press Coverage Cindy Chao The Art Jewel | Press Coverage Cindy Chao The Art Jewel | ![]() Press Coverage Cindy Chao The Art Jewel |
Press Coverage Cindy Chao The Art Jewel | ![]() Press Coverage Cindy Chao The Art Jewel | Press Coverage Cindy Chao The Art Jewel |
![]() Press Coverage Cindy Chao The Art Jewel | ![]() Press Coverage Cindy Chao The Art Jewel | Press Coverage Cindy Chao The Art Jewel |
![]() Press Coverage Cindy Chao The Art Jewel | ![]() Press Coverage Cindy Chao The Art Jewel | ![]() Press Coverage Cindy Chao The Art Jewel |
![]() Press Coverage Cindy Chao The Art Jewel | ![]() Press Coverage Cindy Chao The Art Jewel | ![]() Press Coverage Cindy Chao The Art Jewel |
![]() Press Coverage Cindy Chao The Art Jewel | ![]() Press Coverage Cindy Chao The Art Jewel | ![]() Press Coverage Cindy Chao The Art Jewel |
![]() Press Coverage Cindy Chao The Art Jewel | ![]() Press Coverage Cindy Chao The Art Jewel | Press Coverage Cindy Chao The Art Jewel |
![]() Press Coverage Cindy Chao The Art Jewel |
高斯消元法 : 数学上,高斯消元法 (或译高斯消去法),是线性代数中的一个算法,可用来为线性方程组求解,求出矩阵的秩,以及求出可逆方阵的逆矩阵当用于一个矩阵时,高斯消元法会产生出一个"行梯阵式"高斯消元法可以用在电脑中来解决数千条等式及未知数 消元法 method of elimination 高斯消元法:就是对矩阵进行行或列的加减,变换成对角阵的形式。 2回代 Back substitution 做方程的高斯消元法时可以将系数矩阵加上b扩充为增广矩阵,再进行高斯消元 3消元矩阵 左乘行向量或者右乘列向量将矩阵转化为三角矩阵 4
Incoming Term: 爪形消元,

































































コメント
コメントを投稿